jepstone.net: Papers: UML and Patterns for Web Database Design: Slides

UML and Patterns for Web Database Applications

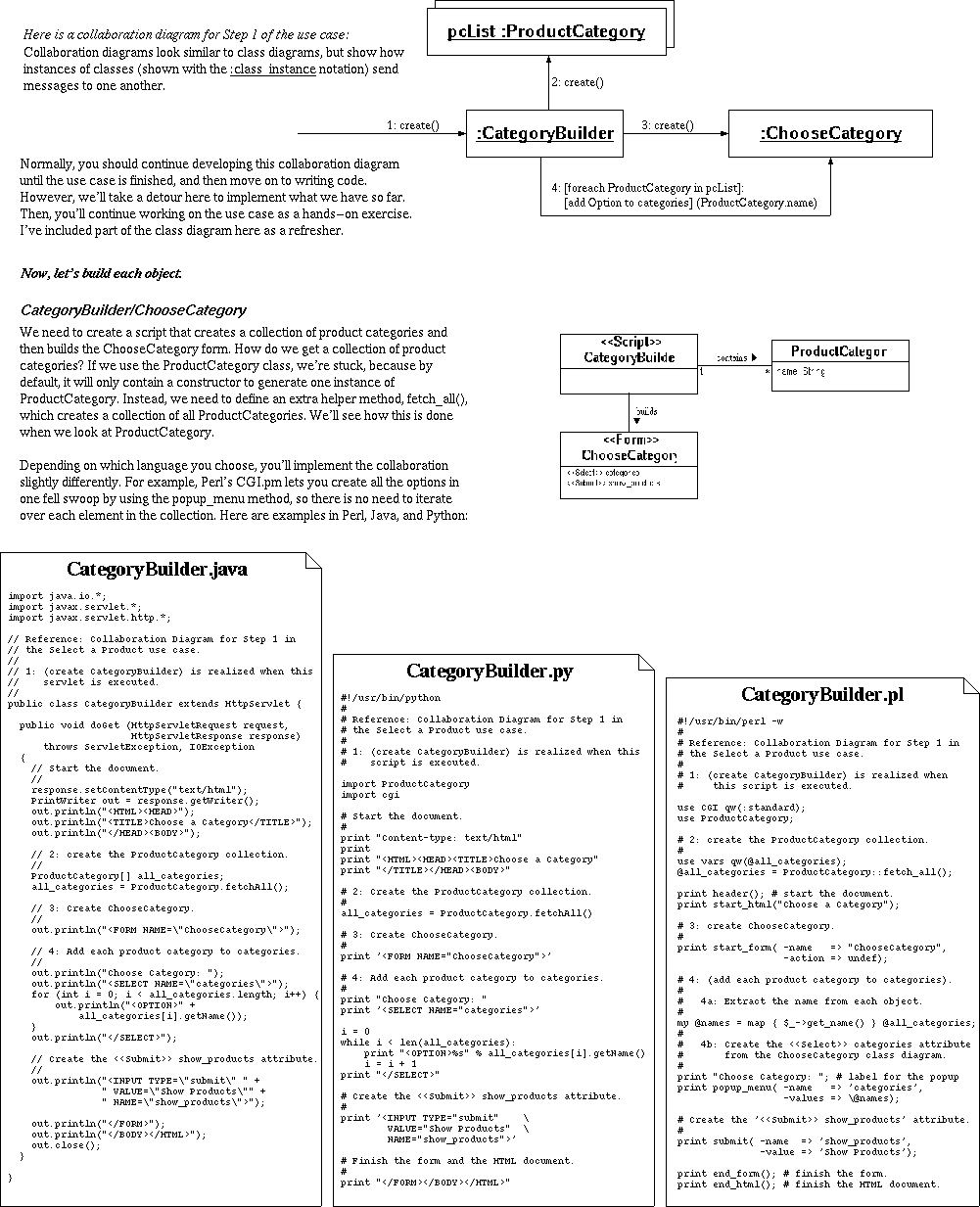
Slide 14 of 21
First slide  Previous slide  Index  Next slide  Last slide
 


[Last updated Sun Jun 11 2000]